奖励资助
首页  >  员工工作  >  奖励资助  >  正文
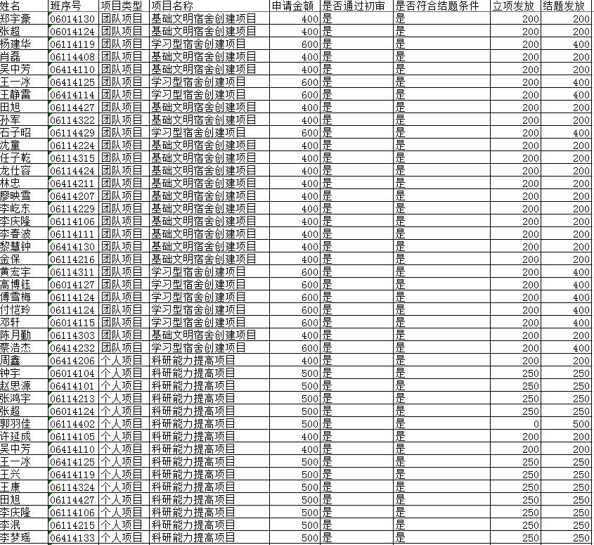
​2014级第4期院级英才工程结题结果公示

来源:英国365集团网站 时间:2018-04-27 点击量:

                                                                                 公示期至4月28日中午12:00,如有异议请于公示期间与学工组祁老师联系。
                                                                                                                            联系电话:027-67883253

                                                                                                                                  2018年4月26日

友情链接:
  • 地空公众号
  • 教师服务平台
联系我们:

地址:湖北·武汉洪山区鲁磨路388号
邮编:430074
Tel : 86-27-67883251
Email:wtb@cug.edu.cn